熱線:021-66110810,66110819
手機:13564362870

熱線:021-66110810,66110819
手機:13564362870
Radiative energy budgets of migrational microphytobenthic biofilms
遷徙性微藻底棲生物膜的輻射能收支情況 來源:Marine Biology (2024) 171:204
論文通過微傳感器(溫度、O?)、反射光譜和葉綠素熒光測量,研究了潮間帶底棲硅藻生物膜的輻射能量收支(REB)。實驗對比了自然遷移組(Control)與運動抑制組(Latrunculin A處理)在不同暴露時間(1 h、3 h、5 h)和光照強度(400/800 μmol photons m?2 s?1)下的能量分配。結果表明:
反射光能恒定(~23%入射光),大部分光能(76–78%)以熱能耗散,光合轉化效率僅占0.5–1.2%。
垂直遷移對光合作用和光能利用效率無顯著影響,也未觀察到非光化學淬滅(NPQ)對熱能通量的明顯調控。

探究硅藻垂直遷移行為對微藻生物膜輻射能量收支(REB)的影響,明確其在光適應和能量分配中的作用。
1. 樣本與處理:
采集法國Bourgneuf Bay潮間帶硅藻生物膜沉積物核心。
設置對照組(Control)和運動抑制組(Lat-A處理),在模擬潮汐暴露期(6 h)施加兩種光照(400/800 μmol photons m?2 s?1)。
在暴露期1 h(BLT)、3 h(LT)、5 h(ALT)測量數據。
2. 多技術聯用:
微傳感器:測量O?剖面(光合活性)和溫度剖面(熱通量)。
反射光譜:監(jiān)測表面生物量變化(R570/R635指數)。
葉綠素熒光:分析光系統II效率(Fq/Fm')和NPQ(△α)。
3. 能量預算計算:
量化入射光能(JIN)、反射光能(R)、吸收光能(JABS)、光合固能(JPS)和熱耗散通量(JH-up/JH-down)。

圖2:光譜數據
測量數據及其研究意義1. 氧氣剖面(圖S2, S3, S4)
數據:O?濃度與滲透深度,反映光合活性時空變化。
意義:揭示硅藻遷移對光合層的影響(LT時O?峰值最高),Lat-A抑制遷移后光合層加深(圖4)。


圖3:硅藻垂直遷移動態(tài)(R570/R635指數)

圖4:光合作用速率剖面
1.溫度剖面(圖6, 表1)

數據:沉積物溫度梯度(dT/dz),計算向上(JH-up)和向下(JH-down)熱通量。
意義:表明熱能主要向下耗散(>59%),且與沉積物導熱性相關(非NPQ主導)。
1. 反射光譜(圖2, 3)
數據:R570/R635指數變化,表征表面生物量動態(tài)。
意義:證實硅藻在LT時上遷(指數↑20–30%),Lat-A抑制下遷運動(圖3)。

1. 葉綠素熒光(圖8)
數據:Fq/Fm'(光系統II效率)和△α(NPQ代理參數)。
意義:高光下Lat-A組光抑制更顯著(Fq/Fm'↓18.4%),但NPQ與熱能通量無強關聯。


1. 遷移行為的影響:
垂直遷移未顯著改變REB分配(p>0.05),但Lat-A處理降低光能利用效率(16–39%),表明運動有光保護作用。
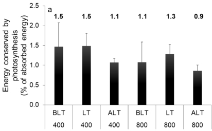
2. 能量分配模式:
反射光能恒定(~23%),光合轉化效率低(0.5–1.2%),熱能主導(76–78%),且主要向下耗散(JH-down >59%)。
3. NPQ的作用:
△α與向下熱通量弱相關(r=0.55, E400),但遷移和NPQ對REB的調控不顯著。

圖5:輻射能量預算(REB)分配
丹麥Unisense電極數據的科研意義論文使用Unisense微電極(OXR50-OI氧傳感器 + TPR430-SUB溫度傳感器)測量:
1. 高分辨率O?剖面(100 μm步長,圖S2–S4):
意義:直接量化光合活性層動態(tài),揭示硅藻遷移如何優(yōu)化光捕獲(LT時O?峰值升至600 μmol L?1)。Lat-A抑制遷移后,光合層加深(圖4),證明運動影響光合位點選擇。

圖6:溫度剖面與熱通量
2. 溫度梯度結合光能計算(圖6):
意義:通過傅里葉定律(JH-up = k·dT/dz)精確計算熱通量,明確沉積物導熱性主導熱能向下傳遞(>59%),而非生物性NPQ機制。
3. 技術優(yōu)勢:
微尺度解析(<1 mm)生物膜物理-生理耦合過程,為REB模型提供實證基礎,彌補傳統方法無法捕捉遷移微動態(tài)的缺陷。